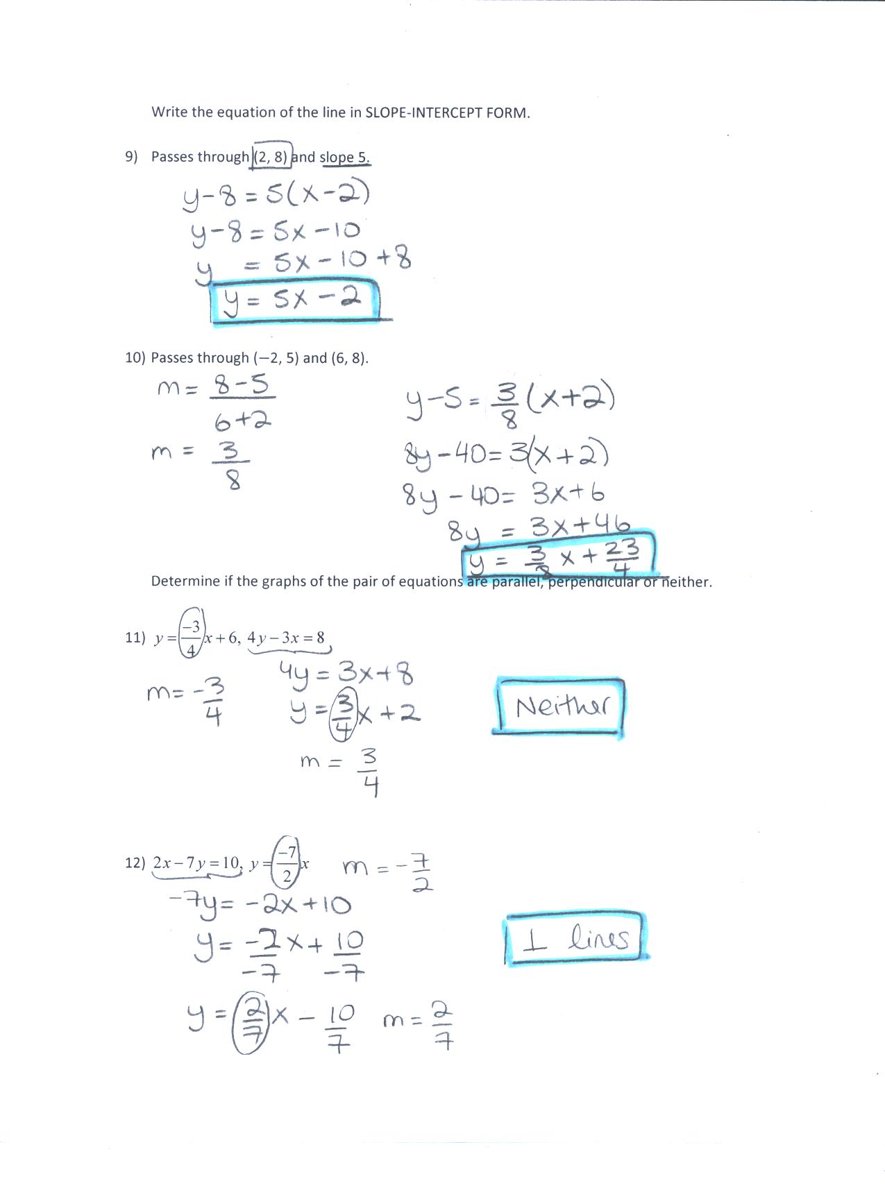
Review Of Algebra 9.1 Worksheet 2022


Review Of Algebra 9.1 Worksheet 2022. Read the following sentences, or stories, and create an equation for each one. This worksheet on grade 9 algebraic equations for the first term includes using algebraic language to write equations, solving equations (including basic exponential equations) and story sums.

Subtracting Polynomials Worksheet Answer Key adding and subtracting
Subtracting Polynomials Worksheet Answer Key adding and subtracting from lbartman.com

Need the best algebra 1 worksheets to help your students learn basic math concepts? Algebra i class worksheet #1 unit 9 1. These calculators will allow you to when you, when you are caught on a difficulty and unable to find the solution

Download Our Free Mathematics Worksheets For Algebra 1.


The winning height y in men’s pole vault at any number olympiad x can be approximated by the equation y = 0.37 x 2 + 4.3 x + 126. Olympics olympics were held in 1896 and have been held every four years (except 1916, 1940, and 1944). Help your students master topics like inequalities, polynomial functions, exponential expressions, and quadratic equations with study.com's simple, printable algebra 1 worksheets.

Worksheet By Kuta Software Llc Intermediate Algebra 9.1 Graphing Exponential Functions Name_____ Id:


Create an account to track progress and measure results. There are a number of free algebra 1 worksheets for you to download, print, or solve online. Click a link below to access the algebra 1 worksheet for a specific section.

Algebra I Class Worksheet #1 Unit 9 Use The Graphing Method To Solve Each Of The Following Systems Of Equation.


Need the best algebra 1 worksheets to help your students learn basic math concepts? This should be the end goal of any given question, but. End of unit, review sheet.

Note That The Videos Page Has Most Of This Information In Video Form.


Here is a comprehensive collection of free printable 9th grade math worksheets that would help students in 9th grade math preparation and practice. The worksheets cover evaluating equations, exponents addition, inequalities, multiplication of exponents, and solving algebra equations in a minimal amount of steps. These calculators will allow you to when you, when you are caught on a difficulty and unable to find the solution

Read The Following Sentences, Or Stories, And Create An Equation For Each One.


Get algebra 1 9.4 worksheet answers from our site. Each one has model problems worked out step by step, practice problems, as well as challenge questions at the sheets end. Printable in convenient pdf format.